DAG (Directed Acyclic Graph)
사이클이 없는 방향 그래프
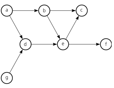
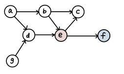
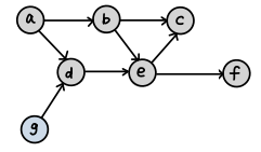
ex) 작업들의 우선순위, 학과 선수과목, 라면 끓이기

Topological Sorting(위상 정렬)
DAG에서 모든 정점을 순서대로 정렬
정렬 기준: 모든 간선(Vi, Vj)에 대해 Vi가 Vj보다 앞에 위치


위상 정렬 구현
1) 진입 간선이 0인 노드부터 순서대로 탐색하는 방법
#include <iostream>
#include <vector>
#include <queue>
using namespace std;
int n, m; // n: 노드, n: 정점
int s, e; // s: 시작지점 e: 끝지점
vector<vector<int>> adjArray;
vector<int> inDeg; // 진입간선의 수
queue<int> q; // 진입간선이 0인 노드를 저장하는 큐
vector<int> A; // 결과값 저장
void AddEdge(int start, int end) {
adjArray[start].push_back(end); // 방향 그래프이므로 한쪽 방향으로만
}
void topologicalSort1() {
for (int i = 1; i <= n; i++) {
if (inDeg[i] == 0)
q.push(i);
}
for (int i = 1; i <= n; i++) {
int u = q.front();
q.pop();
A.push_back(u);
for (int j = 0; j < adjArray[u].size(); j++) {
int v = adjArray[u][j];
inDeg[v]--;
if (inDeg[v] == 0)
q.push(v);
}
}
}
int main() {
cin >> n >> m; // 노드, 엣지 개수 입력
adjArray.resize(n + 1); // 노드 개수만큼 배열 크기 지정
inDeg.resize(n + 1, 0); // 진입간선의 수 크기 지정
for (int i = 0; i < m; i++) {
cin >> s >> e;
AddEdge(s, e);
inDeg[e]++;
}
topologicalSort1();
for (int i = 0; i < A.size(); i++)
cout << A[i] << " ";
}
2) DFS를 사용하여 반대로 탐색하는 방법
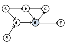
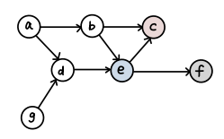
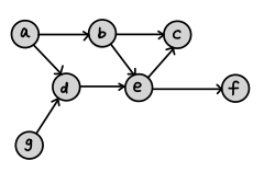
1. DFS의 시작은 아무 노드에서나 가능하다. e를 선택하였다.

2. e가 갈 수 있는 곳은 c와 f가 있다. 그중 먼저 f로 이동한다.

3. f가 더 이상 갈 수 있는 곳이 없으므로 f는 마지막 노드이다. 따라서 f를 스택에 넣어준 후 다시 e로 돌아간다.


4. e에서는 c로 갈 수 있다. c로 이동한다.

5. c에서는 더이상 갈 수 있는 곳이 없으므로 c는 마지막 노드이다. 따라서 c를 스택에 넣어준 후 다시 e로 돌아간다.


6. 이제 e에서도 더이상 갈 수 있는 곳이 없으므로 스택에 넣어준다.


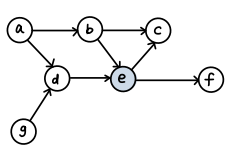
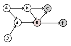
7. 방문 안 한 곳 중 아무 곳이나 선택하여 다시 DFS를 진행한다. a를 선택하였다.

8. a가 갈 수 있는 곳은 b와 d가 있다. 먼저 b로 이동한다.

9. b에서는 더이상 이동할 수 없으므로 스택에 넣어준 후 다시 a로 돌아간다.


10. a에서 d로 갈 수 있으므로 d로 이동한다.

11. d에서 이동할 수 있는 곳이 없으므로 스택에 넣어준 후 다시 a로 돌아간다.


12. 이제 a도 더이상 갈 수 있는 곳이 없으므로 스택에 넣어준다.


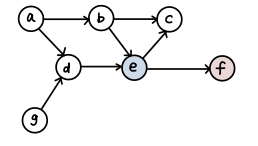
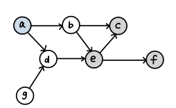
13. 아직 방문 안 한 곳인 g에서 다시 DFS를 시작한다. 하지만 g에서 갈 수 있는 곳이 없으므로 바로 스택에 넣어준다.


14. 모든 노드를 방문하고 스택에 넣어주었으므로 마무리가 된 것이다.

15. 노드의 값을 저장한 스택에서 하나씩 pop을 하면 순서대로 위상 정렬이 된다.
g -> a -> d -> b -> e -> c -> f
topologicalSort2(G) {
for each v∈V
visited[v] ← NO;
for each v∈V // 정점의 순서는 무관
if (visited[v] = NO) then DFS-TS(v);
}
DFS-TS(G,v) {
visited[v] ← YES;
for each x∈L(v) // L(v): v의 인접 리스트
if (visited[x] = NO) then DFS-TS(x);
연결 리스트 R의 맨 앞에 정점 v를 삽입한다;
}
'Algorithm 개념 정리' 카테고리의 다른 글
| BFS/DFS 알고리즘 개념 정리 (0) | 2022.08.18 |
|---|---|
| 브루트 포스(Brute Force) (0) | 2022.07.25 |
| 다이나믹 프로그래밍 Dynamic Programming (0) | 2022.06.22 |